Für Scholz und den Senat gibt es gar kein Mobbing und deshalb muss man auch nichts dagegen tun! Basta!
Zu diesem Ergebnis kam der Senat nach einer kleinen Anfrage von Inge Hannemann.
Ich hatte Scholz schon seit 2008 gebeten ein deutsches Anti-Mobbinggesetz auf den Weg zu bringen, als er noch Arbeitsminister war und werde Teile des Schriftwechsels als Zitate veröffentlichen, nach und nach, damit deutlich wird, dass er bewusst und vorsätzlich ein entsprechendes Gesetz blockiert hat.
Hier nun die Anfrage und die Antworten des Senats:
x
x

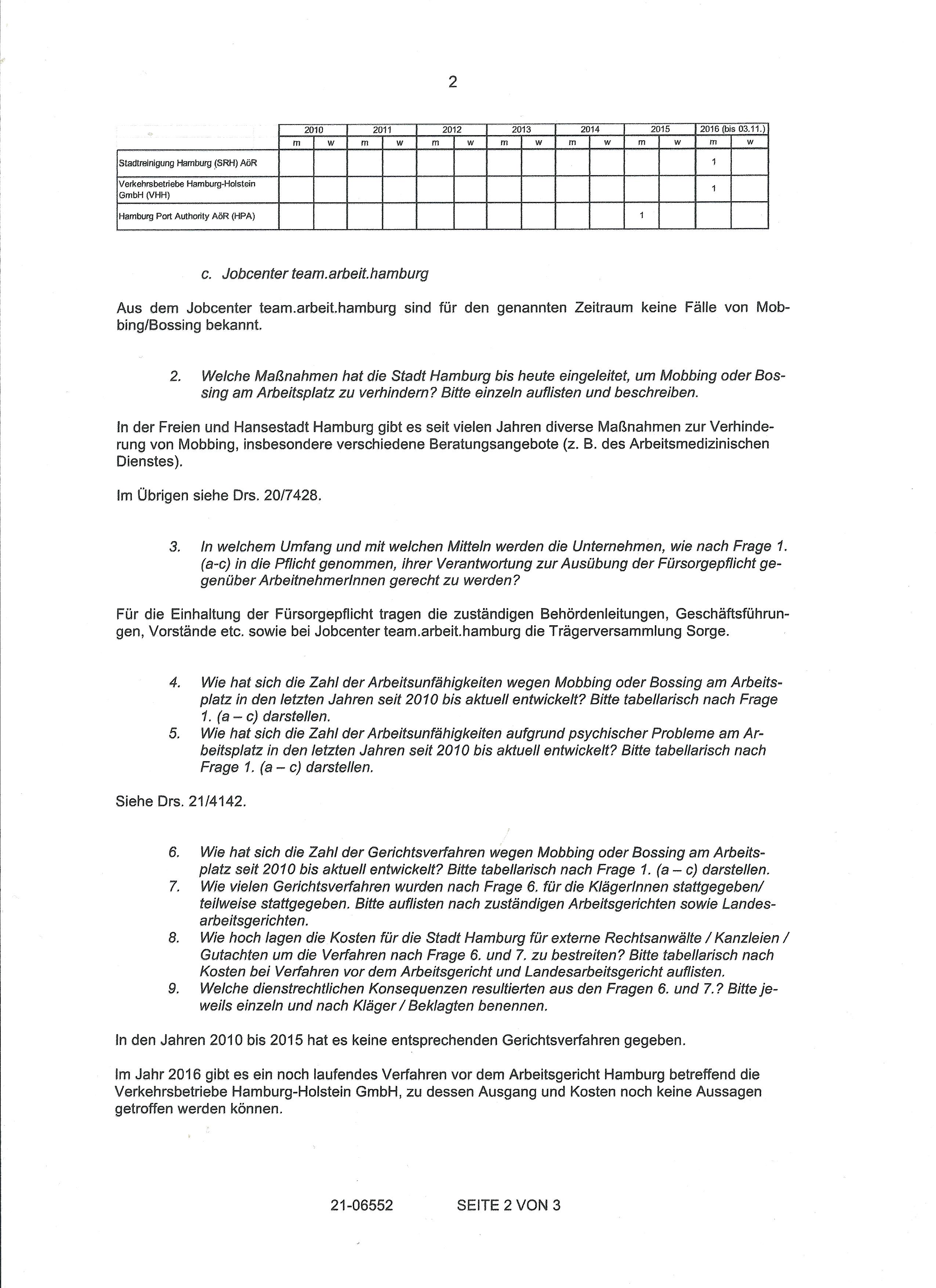
Da ich viele Fälle von Bossing bei der Stadt Hamburg betreue und betreut habe, macht so eine Antwort sprachlos! Vor dem Hintergrund der Eigenstaatlichkeit Hamburgs ist die Haltung des Senats und des Bürgermeisters nicht mehr nachvollziehbar.
Am 10.12.2009 schrieb ich Scholz:
Zitat:
Nun aber zurück zum Anti-Mobbinggesetz.
Wir gingen bisher von 7 % Anteile der Suizide in Deutschland aus, die auf das Konto Mobbing/Konflikte am Arbeitsplatz gehen. Nach einer Studie des TÜV Nord sollen es 20 % sein. Das halte ich nicht für erwiesen. Die letzten Zahlen, die mir vorliegen lauten 9.402 Suizide aus 2007. Das wären bei 7 % 658 Todesfälle.
Mit Ihrem Schreiben vom 31.07.2009 sagen Sie mir quasi: lassen Sie uns doch noch weitere 2010 und 2011 insgesamt 1.316 Suizide wegen Mobbing in kauf nehmen, bevor wir tätig werden. Natürlich wissen wir beide, dass Sie das nicht meinen. Ich habe einen Arbeitskreis „Anti-Mobbinggesetz Deutschland“ gegründet (ich gründe für jedes Thema Arbeitskreise) und bitte Sie diesen bei dem Entwurf und der Eingabe eines Anti-Mobbinggesetzes zu unterstützen. Es ist mir wichtig, dass die Erfahrungen von Mobbingberatern und Rechtsanwälten aus Deutschland aus nunmehr 11 Jahren in den Entwurf einfließen. Teilen Sie mir bitte mit, wie eine solche Unterstützung in der Praxis aussehen kann.























Sehr geehrte Frau Rolf,
Sie scheinen den Sumpf von Mobbing, Bossing und Schikane in den Behörden und sonstigen „Anstalten“ trocken legen zu wollen. *daumenhoch*
Ein hochgestecktes Ziel – aber ich wünsche Ihnen viel Erfolg bei Ihrer Arbeit.
Sie werden gebraucht!
Machen Sie weiter so!
Hallo Mü,
ich versuche das jetzt bereits seit 1997, kenne Scholz seit 2007 und habe etliche Gespräche mit ihm geführt. 2008 hatte ich das Gefühl, er hätte verstanden, wie wichtig das ist. wir hatten ein sehr ausführliches Gespräch bei der SPD in Altona. Damals war er Arbeitsminister. Er hätte jede Chance gehabt, die Rahmenvereinbarung IP 08/569 umzusetzen. Merkel hatte kein Interesse daran, denn sie musste ja die Banken retten, Griechenland retten, den Euro retten und in der Weltgeschichte herum kutschieren. da bleibt für die Arbeitnehmer wenig Zeit. 2008 habe ich (noch) mit Unterstützung von Scholz beim EU-Kommissar angefragt, denn Deutschland hätte eigentlich von April 2007 an gerechnet, binnen drei Jahren ein Anti-Mobbinggesetz verabschieden müssen. Das hat ausgerechnet der DGB verhindert! (nachzulesen unter http://www.mobbing-zentrale.eu
Als ich nach drei Jahren erneut nachfragte, erhielt ich die Auskunft, Deutschland hätte eine Nachfrist von einem Jahr erhalten. Dann wären wir im April 2011!
Inzwischen war Scholz Bürgermeister von Hamburg. Wir waren immer wieder im Gespräch, besonders bei seinen Stadtteilgesprächen. Als er führend bei den Koalitionsverhandlungen mit Merkel war, hoffte ich (naiv), es würde sich etwas bessern, wenn die SPD den Justizminister stellt. Ich schrieb also auch (wie alle Justizminister vorher) Maas an. Seine antworten sind mega-peinlich. Er begründet, dass wir kein Anti-Mobbinggesetz brauchen, mit den Argumenten des Petitionsausschusses aus dem Jahre 1997!!!!
Ich denke, ich scanne den Schriftwechsel mit ihm mal auszugsweise nächste Woche hier ein.
Hi Mü,
nicht nur Frau Rolf wird gebraucht, sondern wir alle die diesen so anscheinend riesigen großen Sumpf mit trocken legen wollen.
Deshalb Daumen hoch für alle , die ihren Teil dazu beitragen die Arbeitswelt wieder erträglicher zu machen !
LG an alle nicht (!) mobbenden Kollegen der SRH und anderen in ganz Deutschland
Würde auch gerne zur Trockenlegung beitragen.
Bin aber durch den letzten Satz meines Auflösungsvertrages zum Stillschweigen verdonnert.
Daumen hoch für alle alle alle!!!
Das ist eine beliebte Methode, Menschen zum Schweigen zu bringen.
Wenn es allerdings darum geht, darüber zu reden, was einem angetan wurde und in den Auflösungsvertrag getrieben hat, halte ich das für sittenwidrig. Deshalb habe ich ja auch Strafanzeige wegen Nötigung erstattet. Das Verfahren wurde (erwartungsgemäß) eingestellt. Die Entscheidung wird jetzt überprüft.
Was heißt „man wird dazu getrieben“?
Bei mir war es eher, hinsichtlich des Abfindungsgeldes, eine Art Verlockung.
Leider vergisst man, dass durch dieses Abfindungsgeld (oder sagen wir besser Schweigegeld) seine Schmerzen nicht gelindert werden.
Im Gegenteil.
Irgendwann wird einem bewusst, dass die Dienststellen-Bosse in schallendes Gelächter ausbrechen, in dem Moment, in dem der Auslösungsvertrag unterschrieben ist.
Man muss einen starken Charakter haben, um diesen Gesichtsverlust zu verarbeiten.
Denn der Schmerz und die Demütigung bleiben und sitzen tief. Wahrscheinlich ein Leben lang.
Da stellt man sich schon die Frage, warum so viel Stillschweigen von Nöten ist?!?
Und wenn man nicht komplett aufn Schädel gefallen ist, bleibt die logische Antwort:
Die Anschuldigungen entsprechen der Wahrheit.
Abfindungsgeld = Schweigegeld
Und die Definition von Schweigegeld = ’Geldsumme, die einem gezahlt wird, damit man eine bestimmte Information verschweigt’.
Ganz einfach (wenn es nicht so weh tun würde)
Wenn du Verletzungen erlitten hast und heute noch leidest, würde ich den Begriff „getrieben worden“ sogar noch unterstreichen.
Hi Mü,
damit hat Ricarda wohl recht und da Du nicht der einzige bist bei denen solche Methoden angewandt wurden oder immer noch werden zeigt dieses eindeutig in die Richtung diejenigen damit Mundtod zu machen , weil man wohl eine Menge dadurch zu befürchten und zu verstecken hat !
Auch wenn du leider ;-( nicht zur Trockenlegung beitragen kannst, so kommt mit der Zeit Stück für stück immer mehr an die Oberfläche, ist alles nur eine Frage der Zeit …
LG an alle nicht (!) mobbenden Kollegen der SRH und anderen in ganz Deutschland
Hi Ricarda,
ist doch klar wie Klosbrühe das hier nichts unternommen werden soll, denn dann hätte man doch einen schlechteren Handlungsspielraum wie jetzt !
Und da bekanntlich der Fisch am Kopf zuerst stinkt, wird dieses verhindert wo und von wem auch immer es geht 😉
Die Frage ist und bleibt, wieso haben es andere Städte eingeführt und umgesetzt, wenn es angeblich keine Nachfrage geben würde ?!
Und eines ist doch klar, die genauen Zahlen würden eh erst auf den Tisch kommen, wenn es solche Stellen geben würde, denn so wird sich niemand an seinen Chef oder PR/Betriebsrat wenden um nicht eventuelle Benachteiligungen befürchten zu müssen !
LG an alle nicht (!) mobbenden Kollegne der SRH und anderen in ganz Deutschland